欢迎光临卡尼尔▪南方泵业品牌官网!水泵型号参数齐全 在线便捷选型 网站地图 | 百度地图 |
南方泵业在线选型平台

正品保证,工厂直发,全国联保,上门服务

全国咨询热线4008-821-931
您的位置: 南方泵业 > 在线选型 > 多级泵 > CDM(F)(50Hz) > CDM3-10
南方泵业CDM3-10水泵明细参数
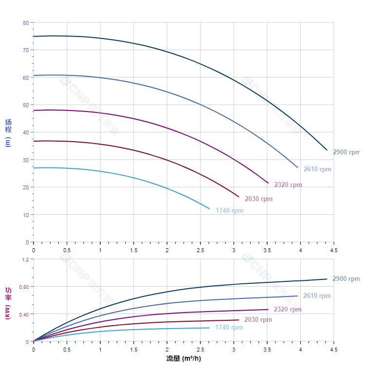
CDM3-10 参数
  • 额定流量 m³/h:3
  • 额定扬程 m:59
  • 额定效率 %:58
  • 额定功率 kw:0.83
  • 额定转速 rpm:2900
  • 叶轮级数:10
  • 介质温度 常温:-15℃~-70℃
  • 介质温度 热水:-15℃~-120℃
  • 电机功率 kw:1.1
  • 机械密封:CDLA-12/WB1F16
  • 重量 kg:29
上一个:CDM3-9 下一个:CDM3-11
在线询价
销售咨询
昆山卡尼尔工业设备有限公司
技术咨询
昆山卡尼尔工业设备有限公司
服务热线

服务热线

4008-821-931

返回顶部